



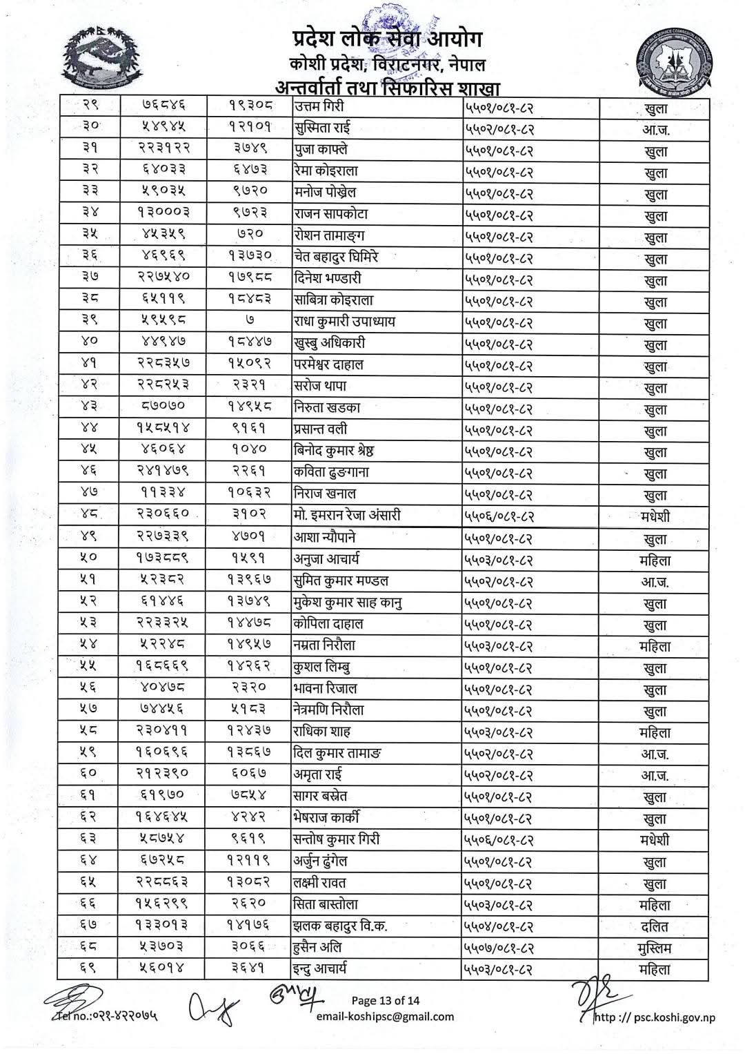
नेपाल बैंक लिमिटेड, गण्डकी र लुम्बिनी प्रदेश तह ३, कनिष्ठ सहायक पदको नतिजा सार्वजनिक (नामावली सहित)
शुक्रबार, फाल्गुन १५, २०८२
राजपत्र अनङ्कित प्रथम श्रेणी (अप्राविधिक) को प्रथम चरण लिखित परीक्षा मिति तोकियो
शुक्रबार, फाल्गुन १५, २०८२
प्रतिनिधि सभा निर्वाचनका अवसरमा ३ दिन सार्वजनिक बिदा
शुक्रबार, फाल्गुन १५, २०८२
काठमाडौँको प्रदूषण घट्दै, आज प्रदूषित सहरको १८ औँ स्थानमा
शुक्रबार, फाल्गुन ८, २०८२
खरिदार लिखित परीक्षाको नतिजा सार्वजनिक
बुधबार, फाल्गुन ६, २०८२
सूचना विभाग दर्ता नं: ४१३९ – २०८० -२०८१
प्रेस काउन्सिल दर्ता नं : ४१५० -२०८० /८१
Chairman: Muna Panthi
KAPILBASTU , NEPAL
01-xxxxx, 01-xxxxx
karmacharionline@gmail.com info@karmacharionline.com
marketing.karmacharionline@gmail.com
article.karmacharionline@gmail.com
artha.karmacharionline@gmail.com
प्रधान सम्पादक : Muna Gautam
समाचार सम्पादक : xxxxx
वरिष्ठ संवाददाता : xxxxx
राजनीतिक विश्लेषक : xxxxx
मनोरञ्जन : xxxxx
बजार व्यवस्थापक:xxxx
यूरोप प्रतिनिधि: xxxxx
कानूनी सल्लाहकार:xxxxx
सल्लाहकार: xxxxxxx